Rajd odbył się w NIEDZIELĘ 26 sierpnia 2018r Wystartowały wyłącznie pojazdy, wyprodukowane przed 1990r, sprawne technicznie (ważny przegląd) i z aktualną polisą OC. Długość trasy rajdu – wynosi 95 km Start – Siedlce – plac gen Sikorskiego – Meta i liczne atrakcje – WODYNIE
Opłata startowa wynosiła 50zł – w ramach tej opłaty załogi otrzymały darmowy posiłek z kuchni polowej, 10 litrów paliwa i dzień pełen niezapomnianych atrakcji rajdowych.
Podczas rajdu uczestnicy tradycyjnie zmagali się z wieloma niełatwymi zadaniami.
IX Siedlecki Zlot Pojazdów Zabytkowych MROWISKO 2018 odbył się w upalną niedzielę 10 czerwca 2018r. przy siedleckim amfiteatrze – ul Wiszniewskiego 1.
Patronat honorowy nad MROWISKIEM 2018 objęli: Prezydent Miasta Siedlce oraz Mazowiecki Wojewódzki Konserwator Zabytków
Patronat Medialny ŻYCIE SIEDLECKIE Zarejestrowaliśmy 261 pojazdów, wśród których było 153 samochody, 104 motocykle i motorowery oraz 4 pojazdy nie mieszczące się w kategoriach konwencjonalnych. Wśród atrakcji były: – koncerty i muzyczne przeboje w stylu RETRO zaprezentowane przez DJ Jacksona – konkursy z nagrodami dla gości i publiczności – atrakcje dla dzieci, – pokazy straży pożarnej, – parada ulicami miasta, – pokazy i atrakcje militarne, – dania z zabytkowej kuchni polowej – woda sodowa z zabytkowego saturatora – WYSTAWA POJAZDÓW ZABYTKOWYCH Na Zlocie prezentowano pojazdy wyprodukowane przed rokiem 1990. dopuszczamy obecność kilku szczególnych pojazdów, nieco młodszych.
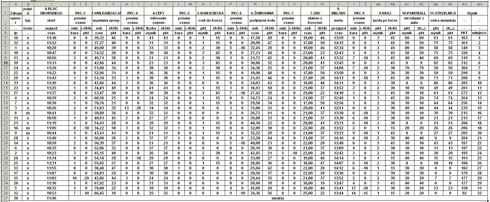
Rajd odbył się w NIEDZIELĘ 3 września 2017r Wystartowały wyłącznie pojazdy, wyprodukowane przed 1990r Miejsc startowych tradycyjnie było 50 lecz z powodu niepogody na starcie zameldowało się 33 załogi. . Zgłoszenie uczestnictwa w rajdzie – tradycyjnie odbywało się za pomocą FORMULARZA, udostępnionego na naszej stronie głównej www.mtzkorba.pl O zakwalifikowaniu się do rajdu decyduje kolejność zgłoszeń. Długość trasy – wynosiła 51 km – choć niektórzy wydłużyli ją o kilkanaście kilometrów 😉 Start – Siedlce – plac gen Sikorskiego – Meta i liczne atrakcje – BIELANY WĄSY na terenie MUZEUM TECHNIKI WOJSKOWEJ UŻYTKOWEJ.
Ciepły posiłek zapewniła nasza zabytkowa kuchnia polowa. Podczas rajdu uczestnicy tradycyjnie zmagali się z wieloma niełatwymi zadaniami RAJD NIE JEST WYŚCIGIEM – liczyło się to, kto zdobędzie najwięcej punktów.
Rajd utrzymany był konwencji GRY PLANSZOWEJ. Zawodnicy otrzymali specjalne PLANSZE, z którymi meldowali się na poszczególnych punktach trasy rajdu. Konieczne było zdobycie stempla oraz wpisu, potwierdzającego wykonania zadania. Nowością było też WYPŁACANIE załogom rajdowej waluty TALLARÓW KORBOWYCH, za które można było wykupić między innymi pociski do zadań strzeleckich i podnieść sobie szanse na osiągnięcie lepszego wyniku.
Zadania rajdowe. 1. Zdobycie Paliwa na stacji MPK, można je było nabyć za rajdową walutę,. 2. Zakładanie opony w firmie wulkanizacyjenej GUMPOL. 3. Zdobycie drugiej części MAPY RAJDU – po wykonaniu zadania na zalewie siedleckim przy Cichej Stanicy, 4. MŁOCKA za pomocą „historycznego przyrządu do młócenia zboża o napędzie kinetyczno-ręcznym” zwanym potocznie CEPEM, 5. Rzuty do kosza – w domu dziecka w Kisielanach, 6. Było też ukryte zadanie „WSPOMÓŻ MENELA” – który za oferowane wsparcie wypłacał dodatkowego tallara. 7. Offroadowe zmagania na żwirowni –
W kategorii MOTOCYKLE pierwsze miejsce zajął KAMIL DESKA na motocyklu MZ ES250/1 z 1962r. Kamil reprezentował Klub Motocyklowy MAGNET – z Mińska Mazowieckiego
W kategorii SAMOCHODY zwyciężył WOJCIECH KOZŁOWSKI jadący samochodem VW ILTIS. Osiągnął największą ilość punktów i tym samym zdobył nagrodę WEEKEND Z HYBRYDĄ. nagroda ufundowana przez firmę TOYOTA Autopodlasie z Siedlec..
VIII Siedlecki Zlot Pojazdów Zabytkowych MROWISKO 2017odbył się w niedzielę 11 czerwca 2017r. przy siedleckim amfiteatrze – ul Wiszniewskiego 1.
Patronat honorowy nad MROWISKIEM 2017 objęli: Prezydent Miasta Siedlce oraz Mazowiecki Wojewódzki Konserwator Zabytków
Patronat Medialny ŻYCIE SIEDLECKIE, OGŁOSZENIOWA oraz PORTAL LANCIA LIFE STYLE
Wśród atrakcji były – koncert grupy: ROUTE 66 – muzyczne przeboje w stylu RETRO zaprezentuje DJ Jackson – koncert coverów w wykonaniu grupy ROCK”N”ROLL MUSIC SCHOOL – konkursy z nagrodami dla gości i publiczności – atrakcje dla dzieci, – pokaz straży pożarnej, – parada ulicami miasta, – pokazy i atrakcje militarne, – dania z zabytkowej kuchni polowej – woda sodowa z zabytkowego saturatora – WYSTAWA POJAZDÓW ZABYTKOWYCH
Przedstawiamy świetny klip oddający klimat VII edycji MROWISKA, zrealizowany przez VIDEOPASJĘ Ewa Mitura, FOTO-LOT Krzysztof Żegliński oraz FOTOGRAFIA Adrian Rykiel.
W 2017 roku oprawę muzyczną zapewniali: mistrz setów w stylu RETRO – DJ JACKSON oraz:
GRUPA BLUESOWA ROUTE 66
ROCK"N"ROLL MUSIC SCHOOL
MROWISKO 2017 – mapki dojazdu na teren zlotu: Siedlce, ul.Wiszniewskiego 1.
Na teren MROWISKA wjeżdżajcie od strony NOVEGO KINA – tam będzie brama wjazdowa i biuro zlotu. Na bramie zostaniecie skierowani w odpowiednie sektory zlotu.
Awaryjny – dodatkowy WJAZD-WYJAZD od ulicy Prusa, ale nie korzystajcie z niego bez szczególnej konieczności.
DRODZY UCZESTNICY IV-go SIEDLECKIEGO RAJDU OLDTIMERÓW – PRZYSTANEK SKÓRZEC, MIŁO NAM BYŁO SPOTKAĆ SIĘ Z WAMI W PIĘKNĄ NIEDZIELĘ 28 SIERPNIA 2016 ROKU I WSPIERAĆ WAS W ZMAGANIACH Z TRUDNYM I PEŁNYM NIESPODZIANEK RAJDEM. DZIĘKUJEMY, ŻE PRZYBYLIŚCIE TAK LICZNIE I Z POZYTYWNĄ ENERGIĄ PRZYSTĄPILIŚCIE DO WALKI O RAJDOWE TROFEA. MAMY NADZIEJĘ, ŻE ZAPEWNILIŚMY WAM DOBRĄ ZABAWĘ I DZIEŃ PEŁEN WRAŻEŃ, KTÓRY NA DŁUGO ZAPISZE SIĘ W WASZEJ PAMIĘCI.
SZCZEGÓLNE PODZIĘKOWANIA SKŁADAMY PANU WOJCIECHOWI KUDELSKIEMU – PREZYDENTOWI MIASTA SIEDLCE, PANU DARIUSZOWI STOPIE – STAROŚCIE SIEDLECKIEMU, ORAZ PANU STANISŁAWOWI KALIŃSKIEMU – WÓJTOWI GMINY SKÓRZEC, KTÓRZY OBJĘLI RAJD PATRONATEM HONOROWYM I WPARLI NAS W DZIAŁANIACH ORGANIZACYJNYCH. DZIĘKUJEMY SERDECZNIE NASZYM WSPANIAŁYM I NIEZAWODNYM SPONSOROM, BEZ KTÓRYCH NIE BYŁOBY MOŻLIWE ZORGANIZOWANIE TEJ NIETUZINKOWEJ IMPREZY. GRUPIE NATURA-LINE 4X4, DZIĘKUJEMY ZA WSPANIAŁĄ ZABAWĘ OFF ROAD, A SPECJALISTOM OD MILITARIÓW CRM, ZA ZORGANIZOWANIE TORU PRZESZKÓD.
PODZIĘKOWANIA SKŁADAMY TAKŻE GRUPIE BLUESOWEJ ROUTE 66, ZA KONCERT NA DACHU ZABYTKOWEGO MIELCA.
VIDEOPASJI ORAZ VIDEOLOT-OWI DZIĘKUJEMY ZA OBECNOŚĆ NA KAŻDYM PUNKCIE RAJDU I ZA FOTO-VIDEO REJESTRACJĘ DOKONAŃ RAJDOWYCH ZAŁÓG.
DYREKCJI ORAZ KADRZE NAUCZYCIELSKIEJ ZE SKÓRZECKIEGO GIMNAZJUM, BARDZO DZIĘKUJEMY ZA ZORGANIZOWANIE KONKURSÓW I ZAPEWNIENIE UCZESTNIKOM RAJDU DODATKOWYCH ATRAKCJI NA MECIE RAJDU.
DRODZY PAŃSTWO, DZIĘKI WAM WSZYSTKIM ZREALIZOWALIŚMY KOLEJNĄ EDYCJĘ TEGO NIECODZIENNEGO RAJDU, DZIĘKI KTÓREMU PROMUJEMY NIE TYLKO ZAMIŁOWANIE DO MOTORYZACJI KLASYCZNEJ, ALE TAKŻE PREZENTUJEMY NASZ SIEDLECKI REGION LICZNYM GOŚCIOM. JESZCZE RAZ SERDECZNIE PAŃSTWU DZIĘKUJEMY.
Rajd odbył się w słoneczną NIEDZIELĘ 28 sierpnia 2016r Startowały wyłącznie pojazdy, wyprodukowane przed 1990r Wystartowało 48 załóg. Opłata startowa wynosiła – 25zł od pojazdu – w ramach tej opłaty załogi otrzymały 10l paliwa i cały bagaż nie zapominanych atrakcji. Zgłoszenie uczestnictwa w rajdzie – tradycyjnie odbywało się za pomocą FORMULARZA, który był dostępny na naszej stronie głównej www.mtzkorba.pl O zakwalifikowaniu się do rajdu decydowała kolejność zgłoszeń. Długość trasy – wynosiła ponad 65 km Start – Siedlce – plac gen Sikorskiego godz. 10:30 Meta – Skórzec – około godz. 17:30
W KATEGORII MOTOCYKLI – ZWYCIĘZCĄ ZOSTAŁ KAMIL PAKUŁA NA MOTOCYKLU WSK 125 W KATEGORII SAMOCHODY ZABYTKOWE – ZWYCIĘZCĄ ZOSTAŁ MARIUSZ PRZEŹDZIAK NA POJEŹDZIE FSO WARSZAWA
W drodze zapewniliśmy uczestnikom ciepły posiłek z zabytkowej kuchni polowej. Podczas rajdu uczestnicy tradycyjnie zmagali się z wieloma niełatwymi zadaniami. RAJD NIE BYŁ WYŚCIGIEM, liczyło się to, kto zdobędzie jak najwięcej punktów w rajdowych konkurencjach.
VII Siedlecki Zlot Pojazdów Zabytkowych MROWISKO 2016 odbył się w słoneczną niedzielę 12 czerwca 2016r. na terenie zielonych okolic siedleckiego amfiteatru.
Wśród atrakcji były: – koncert grupy: ROUTE 66,oraz DJ Jackson – konkursy z nagrodami – atrakcje dla dzieci, – pokaz straży pożarnej, – parada ulicami miasta, – pokazy i atrakcje militarne ASG w wykonaniu grupy PRT, – dla kilku szczęśliwców przelot BALONEM PSB MRÓWKA
Zlot dedykowany był dla pojazdów zbudowanych przed rokiem 1990.
WSTĘP tradycyjnie był WOLNY
Więcej statystyk dotyczących zlotu podamy niebawem. Przedstawiamy świetny klip oddający klimat VII edycji MROWISKA, zrealizowany przez VIDEOPASJĘ Ewa Mitura, FOTO-LOT Krzysztof Żegliński oraz FOTOGRAFIA Adrian Rykiel.
MROWISKO 2016 – mapki dojazdu na teren zlotu: Siedlce, ul.Wiszniewskiego.
Na teren MROWISKA wjeżdżajcie od strony NOVEGO KINA – tam będzie brama wjazdowa i biuro zlotu w postaci białozielonego Volkswagena Ogórka. Na bramie zostaniecie skierowani w odpowiednie sektory zlotu (podział tematyczny tj. Oldtimery, youngtimery itp.)
Awaryjny – dodatkowy WJAZD-WYJAZD od ulicy Prusa, ale nie korzystajcie z niego bez szczególnej konieczności.
III SIEDLECKI RAJD OLDTIMERÓW. Odbył się w NIEDZIELĘ 6 września 2015r
Startowały wyłącznie pojazdy, powyżej 25lat. Wystartowało 39 załóg, do mety dojechało 38. Opłata startowa wynosiła – 25zł od pojazdu – w ramach tej opłaty załogi otrzymały 10l paliwa. Zgłoszenie uczestnictwa w rajdzie – tradycyjnie odbywało się za pomocą FORMULARZA, który był dostępny na naszej stronie głównej od 19 lipca do 27 sierpnia 2015r.
O zakwalifikowaniu się do rajdu decydowała kolejność zgłoszeń. Długość trasy – ponad 80km Start – Siedleckie Błonia godz. 10:20
Przebieg trasy i punkty kontrolne: Start Siedlce – Błonia, pkt1 – Dąbrówka – konkurencja strażacka, poczęstunek z GRILLa, ZASADZKA MILITARNA: w wykonaniu niezastąpionej ekipy Porucznika Zawadzkiego, z Polisch Reconstruction Group, pkt2 – Chlewiska Reymontówka – sesja fotograficzna w wykonaniu WPF, pkt3 – Kotuń – muzeum pożarnictwa, zdobycie informacji na temat eksponatu, pkt4 – Kotuń – pizzeria – przygotowanie pizzy, pkt5 – Kisielany – dom dziecka – łowienie jabłek, pkt6:- Chodów – inscenizowany wypadek, z udziałem MEDTITRANS, ratownicy tej grupy dali pokaz aktorstwa pierwszej klasy 🙂 pkt7 – Nakory – park linowy oraz strzelnica łucznicza, NIESPODZIANKA: kontrola policyjna, dmuchanie balonika i pamiątkowy mandat; pkt8 – przejazd Doliną Helenki, pałacyk w Stoku Lackim – psychotechniczny pomiar refleksu, pkt9 – Siedlce Berdyczowska – nietypowy przejazd po torze gokartowym rowerem marki UKRAINA, pkt10 – Siedlce MPK – tankowanie, pkt11 – Siedlce Budowlana – stacja AXAN – pozyskanie informacji i przygotowania do ostatniej konkurencji rajdu, pkt12 – Siedlce WORD – jazda autobusem po torze, META – Siedlce Błonia
Zwycięskie załogi:
w kategorii samochody zwyciężyła: załoga Nr 30 Michał Szczypiornicki z rodziną – Fiat 125p – wynik 421pkt
w kategorii motocykle zwyciężyła: załoga Nr 18 z wynikiem 286pkt
Na trasie załogi miały zapewniony posiłek, można też było napić się WODY SODOWEJ Z SOKIEM z zabytkowego i unikatowego SATURATORA SW-2, odrestaurowanego przez członków stowarzyszenia MTZ KORBA. Nasza zabytkowa kuchnia polowa, serwowała ciepły bigos na mecie.
Podczas rajdu załogi odwiedziły dom dziecka w Kisielanach, którego wychowankowie przeprowadzili konkurencję rajdową. Uczestnicy rajdu pozostawili w tym miejscu praktyczne upominki w postaci czystych zeszytów, bloków rysunkowych i tym podobnych drobiazgów, co pozwoliło zrewanżować się dzieciakom, za ich zaangażowanie w organizację.
Pogoda tego dnia była niepewna, jednak słońce wyglądało spoza chmur często i można było rozgrywać konkurencje rajdowe bez obaw o przemoczenie. Deszcz spadł dosłownie 10 minut po tym jak ogłoszono wyniki i rozdano trofea rajdowe.
RAJD NIE BYŁ WYŚCIGIEM, nie liczyło się to kto przejedzie trasę najszybciej. Wygrały załogi, które popełniły najmniej błędów i uzyskały największą ilość punktów.
Bardzo dziękujemy wszystkim uczestnikom III Siedleckiego Rajdu Oldtiimerów. Jako organizatorzy byliśmy pod wrażeniem Waszego pozytywnego nastawienia, ducha walki i determinacji z jaką pokonywaliście kolejne etapy rajdu. Mamy nadzieję, że udało nam się po raz kolejny zaskoczyć Was atrakcjami, a zarazem zachęcić do udziału w kolejnych imprezach organizowanych z myślą o Was, przez nasze stowarzyszenie.
Podziękowania składamy również Panu prezydentowi Wojciechowi Kudelskiemu, za objęcie honorowym patronatem naszej imprezy, także za pomoc w jej realizacji. Urzędowi miasta, Policji oraz Zarządowi Dróg, również dziękujemy za wsparcie organizacyjne. Bez Państwa Pomocy byłoby nam znacznie trudniej.
Szczególne podziękowania kierujemy do niezwykle zaangażowanej i pełnej energii grupy PRT, wasze działania i umiejętności jak zawsze podnoszą adrenalinę załogom i czynią nasze imprezy ciekawszymi. Podobnie inscenizacja z udziałem MEDITRANSu – Bardzo Wam dziękujemy za popisową akcję, liczymy na Was w przyszłości. Zwabienie proboszcza na miejsce inscenizowanego wypadku przejdzie do historii rajdu 🙂 Rajd nie odbyłby się bez pomocy niezawodnych sponsorów. Dziękujemy na stałe związanej z nami firmie EKOSTAL, która własnymi siłami osobowymi i wszelkimi zasobami, zawsze mocno wspomaga nasze imprezy. Wykonane przez EKOSTAL trofea, są częścią historii rajdu. Kolejne podziękowania składamy firmom LIR, KOSBUD, HONDA WYSZOMIRSKI, MALPOL, MARFLEX, BAMIR, REYMONTÓWKA, AXAN, KART 1, PARK LINOWY NAKORY, RELAX, OSK WAŁOWA i MPK. Serdecznie Państwu dziękujemy, za nieocenione wsparcie w realizacji Siedleckiego Rajdu Oldtimerów.
VI edycja Siedleckiego Zlotu Pojazdów Zabytkowych MROWISKO 2015 już za nami. Pogoda okazała się bardzo przychylna, więc frekwencja była znakomita.
Zarejestrowaliśmy aż 220 uczestników zlotu oraz 15 pojazdów należących do MTZ KORBA, co daje imponującą liczbę 235 sztuk.
VI Siedlecki Zlot Pojazdów Zabytkowych MROWISKO 2015, odbył się w NIEDZIELĘ 14 czerwca 2015r.
Miejsce zlotu: Zielone okolice siedleckiego amfiteatru ul. Wiszniewskiego (w sąsiedztwie Novego Kina).
Tradycyjnie VI edycja MROWISKA odbyło się pod Honorowym Patronatem: Prezydenta Miasta Siedlce Pana Wojciecha Kudelskiego
Wśród atrakcji były: – liczne konkursy z nagrodami, także dla publiczności, – Pokazy strażackie, pokazy ratownictwa drogowego i medycznego. – Atrakcje militarne prowadzone przez grupę miłośników ASG, – oprawa muzyczna – DJ Jackson, – był także jeden z trzech największych w Polsce balonów na ogrzane powietrze, – odbyła się Parada pojazdów zabytkowych, wiodąca ulicami miasta, – Giełda pojazdów zabytkowych,
Bardzo dziękujemy wszystkim Gościom za ten dzień pełen dobrych emocji, który spędziliście z nami. Liczymy na szybkie spotkanie już na wrześniowym Rajdzie Oltimerów.
Dziękujemy władzom miasta, w szczególności Panu Prezydentowi Wojciechowi Kudelskiemu, oraz Pani wiceprezydent Annie Sochackiej, za wsparcie i pomoc w realizacji tej udanej imprezy motoryzacyjnej.
Doskonale spisali się także Wolontariusze, których pomoc była bezcenna. Jesteśmy dumni ze współpracy z Wami i liczymy, że pomożecie nam także w kolejnych edycjach Mrowiska.
Na specjalne podziękowania zasługują nasi niezastąpieni sponsorzy, którzy jak zwykle wsparli nas hojnie. dzięki Wam mogliśmy zorganizować Mrowisko na właściwym poziomie. Liczymy na dalszą owocną współpracę.
II Siedlecki Rajd Oldtimerów „PRZYSTANEK WIŚNIEW” zorganizowaliśmy dzięki współfinansowaniu ze środków otrzymanych z GMINY WIŚNIEW, w ramach realizacji zadania publicznego z zakresu kultury, sztuki, ochrony dóbr kultury i dziedzictwa narodowego, Rajd odbył się pod PATRONATEM HONOROWYM PREZYDENTA MIASTA SIEDLCE Pana Wojciecha Kudelskiego, oraz WÓJTA GMINY WIŚNIEW Pana Krzysztofa Kryszczuka.
Impreza odbyła się w piękną słoneczną sobotę 06 września 2014r. przywitaliśmy pierwsze załogi o godz. 9:00, w okolicach PLACU GENERAŁA SIKORSKIEGO. tam też przeprowadziliśmy ODPRAWĘ przed startem, zaplanowanym na godz. 10:00 cyklicznie co kilka minut wypuszczaliśmy kolejne załogi, wręczając mapki trasy rajdu z informacjami dotyczącymi zadań, jakie należało wykonać.
Dzięki wysiłkowi jaki włożyliśmy w pozyskanie funduszy na organizację rajdu, udało nam się utrzymać symboliczną kwotę wpisowego – jedyne 20zł – a w tym liczne atrakcje i talon na paliwo. W ramach opłaty startowej każdy zarejestrowany uczestnik (właściciel pojazdu) otrzymał także talon na ciepły i smaczny posiłek. Była też pyszna grochówka, bigos i gorąca kawa zbożowa z naszej kuchni polowej.
Rajd nie był wyścigiem – zdobycie miejsca na podium nie wymagało łamania przepisów i przemęczania pojazdów szaleńczym pędem, liczyła się wyłącznie sprawność w wykonywaniu zadań i jak najmniejsze odstępstwa czasowe w stawianiu się na punktach kontrolnych.
Lista punktów kontrolnych i atrakcji rozmieszczonych na trasie rajdu: 1. PK kapliczka – uzyskanie informacji na temat kaplicy Ogińskich, 2. PK MPK – pierwsza kontrola czasu przejazdu, 3. PK KART 1 – przejazd po torze gokartowym w Siedlcach, 4. PK Kownaciska – inscenizacja wypadku drogowego, kurs pierwszej pomocy realizowany przy wsparciu zespołu medycznego, 5. PK Zalew – wykonywanie ćwiczeń na sprzętach siłowni miejskiej, 6. PK Relax – pompowanie koła rowerowego na parkingu sklepu należącego do firmy RELAX, sponsora głównej nagrody, 7. PK Lipniak – przejazd pod tyczką na parkingu we wsi Lipniak, 8. PK Zasadzka militarna – inscenizacja kontroli wojskowej na trasie Lipniak – Stok Wiśniewski oraz strzelanie do celu za pomocą repliki broni, 9. PK Stok Wiśniewski – pokonanie slalomu zabytkowym rowerem, 10. PK Mościbrody – slalom za pomocą zdalnie sterowanej, elektrycznej łodzi, 11. PK Paduchy – zdobycie napoju z etykietą Rajdu Oldtimerów, 12. PK Orlik – rzucanie piłki do kosza, 13. PK Ruda OSP – strącanie pachołków za pomocą prądownicy strażackiej, 14. PK Ruda Łucznictwo – strzelanie do tarczy z łuku klasycznego, 15. PK Ruda Waga Ciężka – pokonanie slalomu zabytkową ciężarówką MERCEDES 911, 16. PK Jajecznica – konkurs kulinarny prowadzony przez trzy Panie z zespołu pieśni i tańca WIŚNIEWIACY 17. PK Rękodzieło artystyczne – konkurs prowadzony przez miejscową artystkę, 18. Konkurs RZUT TŁOKIEM – konkurs z nagrodami AGD prowadzony dla publiczności w okolicy urzędu gminy, 19. Konkurs POMPOWANIE KOŁA NA CZAS – konkurs z nagrodami AGD prowadzony dla publiczności w okolicy urzędu gminy, 20. Konkurs JAZDA ROWEREM NA OPAK – konkurs z nagrodami AGD prowadzony dla publiczności w okolicy urzędu gminy, 21. Strzelnica ASG – atrakcja dla publiczności i gości realizowana w okolicy urzędu gminy,
Po imprezie uczestnicy rajdu, organizatorzy, sponsorzy oraz goście, mieli okazję spędzić miłe chwile na rajdowym „after party” w gospodarstwie agroturystycznym Chalecczyzna w Stoku Wiśniewskim.
Ze względów ekonomiczno-organizacyjnych mogliśmy przyjąć jedynie 50 załóg (+5 rezerwowych). O uczestnictwie decydowała kolejność zgłoszeń.
Na mecie w Wiśniewie zorganizowaliśmy wystawę pojazdów zabytkowych, na której zgromadziliśmy około 60 pojazdów (samochodów i motocykli), W konkursach dla publiczności rozdaliśmy 10 nagród – sprzętów AGD (suszarki, czajniki elektryczne, wagi elektroniczne, żelazka, wyciskarki do soku), Wręczyliśmy 3 nagrody główne dla zwycięskich załóg rajdu (statuetki stylizowana Złota, Srebrna i Brązowa KORBA na postumencie z tabliczką) oraz nagrodę specjalną dla zwycięzcy – ROWER od sponsora, firmy RELAX. W trakcie wystawy pojazdów, dzieci z wiśniewskiego kółka plastycznego wykonały pokaz malarski, w czasie około 20minut namalowały efektowny obraz MGLISTY LAS w technice olejnej, na płótnie, format 100x80cm. Zrealizowaliśmy także oprawę muzyczną, zagrały zespoły MIKAYLA i JOKER Zapewniliśmy też uczestnikom pojazd wsparcia technicznego typu AUTOLAWETA, który na szczęście okazał się niepotrzebny.
TRASA RAJDU 2014 wynosiła 70km, wiodących malowniczymi drogami naszego regionu i Gminy WIŚNIEW. Wystartowało 51 załóg, na metę dojechało 48. Odnotowaliśmy jedną usterkę skrzyni biegów, jedną paska klinowego i jedno wycofanie się z powodów nieznanych. Wszystkie auta przejechały łącznie 3360 km. Organizatorzy wydali 720 litrów benzyny i 30 litrów oleju napędowego, 150 litrów bigosu oraz tyle samo grochówki.
Zwycięzcą II-go Siedleckiego Rajdu Oldtimerów został Pan Dawid Wasilewski, który uzyskał 287 punktów. Drugi wynik czyli, 275 punktów należał do Pana Damiana Grądza. Miejsce trzecie za 258 punktów zajął Pan Tomasz Kołak.
Dziękujemy wszystkim dzielnie walczącym załogom za udział w rajdzie. Mamy nadzieję, że będzie on stałym elementem Waszych oldtimerskich wspomnień i że spotkamy się ponownie w kolejnej edycji.
pozdrawiamy serdecznie – ekipa MTZkorba
Po imprezie uczestnicy rajdu, organizatorzy oraz sponsorzy mieli okazję spędzić miłe chwile, ucztując w Skansenie Chalecczyzna, mieszczącym się w Stoku Wiśniewskim, gdzie przy ognisku i smacznych posiłkach, w pięknym sielskim otoczeniu, z klimatyczną muzyką w tle, można było dzielić się wrażeniami z przeżytych tego szczególnego dnia przygód. Wśród atrakcji dla publiczności znalazły się: – koncerty, – pokaz Straży Pożarnej, pokazy medyczne, – pokazy Judo, Sumo i Karate Szczegółowy harmonogram imprezy wyglądał następująco: 9.00 Otwarcie bramy wjazdowej 9.00 – 10.00 Zbiórka uczestników Rajdu 10.00 -10.15 Oficjalne otwarcie imprezy i briefing dla uczestników 10.30 – 13.00 Start ekip rajdowych 10.50 Pokaz Judo 11.00 Koncert zespołu BLUES PROJEKT 12.15 Pokaz Karate & Sumo 13.00 Pokaz Ratownictwa Drogowego 13.50 – 16.10 Wjazd na Metę załóg rajdowych 14.20 Koncert zespołu REGIME 16.30 Wyniki rajdu oraz wręczenie nagród 17.00 Zakończenie rajdu oraz wyjazd na piknik country dla uczestników do skansenu w Stoku Wiśniewskim. Dodatkowo przez czas trwania rajdu, odbywała się akcja „Dzień Dawcy Szpiku” – chętni w wieku 18-55 lat mogli zarejestrować się w bazie potencjalnych dawców komórek macierzystych. Przez cały dzień na placu Sikorskiego podziwiać można było pojazdy należące do członków stowarzyszenia MTZ Korba. Jako organizatorzy nie braliśmy udziału w przejeździe trasy rajdowej lecz ją nadzorowaliśmy i obstawialiśmy punkty kontrolne. Serdecznie dziękujemy wszystkim, którzy wspierali nas w organizacji rajdu !!. ekipa MTZ Korba.
V Siedlecki Zlot Pojazdów Zabytkowych MROWISKO, odbył się w SOBOTĘ 14 czerwca 2014r.
Miejscem piątej edycji MROWISKA były zielone okolice siedleckiego amfiteatru. Bliskość parku, a także zielona przestrzeń jaką mieliśmy do dyspozycji, przypadła do gustu gościom i uczestnikom zlotu. Zgromadzone na imprezie oldtimery, dobrze komponowały się z tym urokliwym zakątkiem Siedlec, a uczestnicy mieli możliwość brać udział w wielu konkurencjach, dających szansę na zdobycie pucharów i nagród od sponsorów. Mimo wyjątkowo złośliwej i nieprzewidywalnej pogody zarejestrowaliśmy 154 pojazdy, przebijając wynik z poprzedniej edycji zlotu o 14. Spodziewaliśmy się większej ilości uczestników, jednak biorąc pod uwagę deszczową pogodę wynik ten uznajemy za bardzo dobry. Za pomoc w realizacji MROWISKA 2014, składamy podziękowania Panu Prezydentowi Miasta Siedlce, Wojewódzkiemu Konserwatorowi Zabytków, Muzeum Regionalnemu, licznym i niezawodnym sponsorom, Służbom Miejskim, Miejskiemu Ośrodkowi Kultury, Policji, Straży Pożarnej z Siedlec, Straży pożarnej z Dąbrówki Wyłazy, Grupie CRM Wola Camp, Uniwersytetowi Przyrodniczo Humanistycznemu oraz wszystkim zaangażowanym młodym ludziom Wolontariuszom, którzy wsparli nasze wysiłki w realizacji i przeprowadzeniu zlotu.
Pod względem trudnych do przewidzenia zjawisk, był to dla nas organizatorów dzień wielu utrudnień, z którymi musieliśmy sobie radzić na bieżąco. Służby odpowiedzialne za przygotowanie ulicy nie usunęły blokady z betonowych donic – zrobiliśmy to ręcznie. Szanowny Pan „administrator” Novego Kina, którego złośliwie „pozdrawiamy”, był łaskaw przegonić nas z lokalizacji bramy wjazdowej, nasyłając Strażników Miejskich, by pod pretekstem niszczenia trawnika kazali nam się wynosić. No cóż – chyba zabrakło tu odrobiny empatii. Mistrz ceremonii i dowodzący Mrowiskiem – Prezes MTZ KORBA uległ wypadkowi podczas przygotowań do zlotu, złamał nogę przy pracach przygotowawczych na godzinę przed otwarciem bramy wjazdowej i trafił do szpitala. Po założeniu gipsu dołączył do nas dopiero w trakcie imprezy, Silny wiatr na spółkę z deszczem odsłonił i zalał wodą sprzęt nagłośnieniowy, który uległ uszkodzeniu w chwili próby powitania gości. To kilka zdarzeń z dłuższej listy trudności jakie nas spotkały i spowodowały korektę czasową harmonogramu imprezy. Przepraszamy Gości i Uczestników za ewentualne niedogodności wynikające z zaistniałych zdarzeń, mamy nadzieję, że zmiana ta nie była dla Państwa szczególnie uciążliwa i zauważalna.
Tegoroczna edycja MROWISKA ponownie odbyła się pod Honorowym Patronatem: PREZYDENTA MIASTA SIEDLCE ale także pod Patronatem WOJEWÓDZKIEGO KONSERWATORA ZABYTKÓW W SIEDLCACH
Wśród atrakcji były: – festiwal latawców – mimo złej pogody wystartowało kilka i puchary trafiły do zwycięzców, – pokaz breakdance i HipHop – na scenie amfiteatru – festiwal piosenki WSZYSTKIE DROGI PROWADZĄ DO SIEDLEC na którym zagrały zespoły: ROUTE 66, PIOTR FRANCZUK BAND, PODOBAMISIĘ i UPSTREAM – konkurs składania silnika legendarnego skutera OSA, – konkurs przeciągania samochodu liną, – konkurs rzucania tłokiem do celu, – konkurs pompowania koła, – konkurs wymiany koła, – konkurs wiedzy mechanicznej, – konkurs przejazdu z Mrówką, – konkurs „parówkowy”, – konkurs dla dzieci – Młody Konstruktor, – malowanie twarzy – atrakcja dla dzieci, – pokazy hippiczne, – pokazy straży pożarnej, – parada ulicami miasta, – pokazy militarne ASG w wykonaniu grupy Wola Camp, – odbyła się także pierwsza w Polsce GIEŁDA POJAZDÓW ZABYTKOWYCH
Oficjalny Harmonogram imprezy wyglądał następująco: – 9:00 -11:00 przyjazd i rejestracja uczestników zlotu (spodziewamy się około 200 pojazdów) – 11:00 – 17:30 Koncerty zespołów PODOBAMISIĘ, PIOTR FRANCZUK BLUES BAND, ROUTE 66, UPSTREAM, – 12 pokazy latawców, – 13:30 PARADA kolumny pojazdów zabytkowych ulicami miasta – 15:30 -16:00 pokazy BREAKDANCE i koncert HIPHOPowy – stowarzyszenie PIONA – 16:00 – „Odezwa społeczności PaT” – „Zryw Wolnych Serc” – Naczelnik Wydziału Prewencji KMP w Siedlcach, W trakcie trwania zlotu – konkursy z nagrodami, Pokazy działania Straży Pożarnej, Policji, CRM Wola Camp, Pokazy jazdy konnej, Piknik rodzinny, Festiwal latawców, – 17:30 – rozdanie nagród uczestnikom zlotu i zakończenie imprezy
Ze względu na utrudnienia techniczno-losowe, niektóre elementy harmonogramu przesunięto o godzinę.
Serdecznie Państwu dziękujemy za to, że tak licznie przybyliście i spędziliście ten dzień z nami.
Do zobaczenia wkrótce – na kolejnej imprezie MTZ Korba